+ Reply to Thread
Page 2 of 11 FirstFirst 1 2 3 4 ... LastLast
Results 11 to 20 of 107

Thread: "জীবন কেবলমাত্র একটি গেম" ভ্যালেন 10n-а থেকে মার্কেটের ওভারভিউ

  1. #11 Collapse post
    Senior Member SaifulRahman's Avatar
    Join Date
    Nov 2017
    Posts
    1,319
    Accrued Payments
    132.92 USD
    Thanks
    1,813
    Thanked 2,317 Times in 771 Posts
    SubscribeSubscribe
    subscribed: 0
    "জীবন কেবলমাত্র একটি গেম" ভ্যালেন 10n-а থেকে মার্কেটের ওভারভিউ
    [ATTACH=CONFIG]9082[/ATTACH]
    হ্যালো প্রিয় ট্রেডারভাইয়েরা,
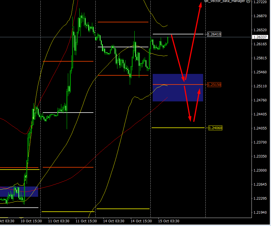
    আজকের লেভেল অনুযায়ী, বিয়ারের অগ্রাধিকার বেশি। তাই আজকের দিনের ব্যালেন্সটি কোথায় অবস্থিত সেখানে 2641 দাম কীভাবে মুভ করবে সেটা বের করা গুরুত্বপূর্ণ।
    মেন্ডাটরি জোনটি আবারও উপস্থিত হয়েছিল এবং এখন আমি এই জোনে দামটি পৌঁছানোর আশা করছি, কারণ পরবর্তীটিতে দিনের নীচের ব্যালেন্সটি 2515 এ অন্তর্ভুক্ত রয়েছে। আমাদের অবশ্যই এটি পরীক্ষা করা উচিত, যদিও তারপরে বুলিশ ট্রেন্ড অনুসরণ করুন। যদি তাদের দিকে দামটি টানতে সক্ষম হয় তবে 25 তম চিত্রের নতুন করে সর্বোচ্চ পজিশনে হিট করে অর্ডার খোলা হতে পারে। যদি তা না হয় তবে দামটি 100 পিপস নিচে নামবে এবং 24 তম চিত্রের লেভেল অনুসারে স্থির হবে।
    Attached Images  

    Though trading on financial markets involves high risk, it can still generate extra income in case you apply the right approach. By choosing a reliable broker such as InstaForex you get access to the international financial markets and open your way towards financial independence. You can sign up here.


  2. Remove Your Thanks

    The Following 2 Users Say Thank You to SaifulRahman For This Useful Post:

    KF84 (2019-11-14), Unregistered (1)

  3. #12 Collapse post
    Senior Member SaifulRahman's Avatar
    Join Date
    Nov 2017
    Posts
    1,319
    Accrued Payments
    132.92 USD
    Thanks
    1,813
    Thanked 2,317 Times in 771 Posts
    SubscribeSubscribe
    subscribed: 0
    ফোরামের ট্রেডার ভাইয়েরা,
    রিভার্সেল লেভেলটি একই ছিল এবং 2839 লেভেলটি একটি সীমানা হিসাবে কাজ করেছে। আজকের দিনের ব্যালেন্স সামান্য বেড়েছে। তাই দাম 2959-এর দিকে মুভ হবে বলে আশা করা করছি। মেনন্ডাটরি জোন গতকালের মতো প্রায় একই রকম, তবে এখন তারা সাপোর্ট হিসাবে কাজ করছে। উপরের দিক থেকে 2900 তে নেমে একটি পরীক্ষা করবে। প্রথমত, আমাদের আজকের দিনের ব্যালেন্সটিতে পৌঁছাতে হবে এবং তারপরেই ২৪তম চিত্র অনুসারে ফিরে আসতে হবে। সুতরাং, এটি সাইডওয়ে ট্রেন্ডে ট্রেডিং করার আরও একটি দিন।
    [ATTACH=CONFIG]9165[/ATTACH]
    Attached Images  

    Though trading on financial markets involves high risk, it can still generate extra income in case you apply the right approach. By choosing a reliable broker such as InstaForex you get access to the international financial markets and open your way towards financial independence. You can sign up here.


  4. The Following User Says Thank You to SaifulRahman For This Useful Post:

    KF84 (2019-11-14)

  5. #13 Collapse post
    Senior Member Rassel Vuiya's Avatar
    Join Date
    Feb 2018
    Posts
    1,301
    Accrued Payments
    1,110.94 USD
    Thanks
    1,945
    Thanked 2,567 Times in 753 Posts
    SubscribeSubscribe
    subscribed: 0
    হ্যালো ট্রেডার ভাইয়েরা,
    আগের থেকেই ট্রেডিংয়ের রেঞ্জ অপরিবর্তিত রয়েছে: ডেইলী ব্যালেন্স ২৭৯৯ এ (গতকাল থেকে মাত্র 10 পয়েন্ট কম); মেন্ডাটরি জোনটি বর্তমান লেভেলে রয়েছে; এমনকি ডেইলী ব্যালেন্সের এই অপশনটি সর্বোচ্চ 2894 তে রয়েছে। সুতরাং, আমরা এখানে অর্ডার খুলতে পারি।
    আমি গতকালের শর্ট টার্ম সেল অর্ডার করে দিয়েছি এবং এখন আমি নতুন আর একটি অর্ডার খুলতে যাচ্ছি, কারণ নীচের থেকে লক্ষ্য গতকাল শুরু হওয়া কারেক্টশন এর চেয়ে অনেক বেশি।
    [ATTACH=CONFIG]9186[/ATTACH]
    আমাকে বিরক্ত করার একমাত্র জিনিসটি হল 2842-53 এর মেন্ডাটরি জোন এবং ট্রেন্ড লেভেলটি দিনের মাঝামাঝি 2948-তে শুরু হয়ে পরিবর্তিত হয়েছে। এটার অর্থ হল উভয় লেভেলে পৌঁছানো উচিত যখন অন্য প্যাটার্নটি সক্রিয় করা হয়। মেন্ডাটরি জোনটি ইতিমধ্যে অর্জিত হয়েছে, সুতরাং সেখানে গিয়ে ২৯তম সংখ্যায় পৌঁছানোর সুযোগ রয়েছে। সত্য কথা হল, 100 পয়েন্টের একটি মুভমেন্ট দেরী হতে পারে। তা ছাড়া গত সপ্তাহে আমাদের ডিবেট রয়েছে।
    Attached Images  

    Though trading on financial markets involves high risk, it can still generate extra income in case you apply the right approach. By choosing a reliable broker such as InstaForex you get access to the international financial markets and open your way towards financial independence. You can sign up here.


  6. The Following User Says Thank You to Rassel Vuiya For This Useful Post:

    KF84 (2019-11-14)

  7. #14 Collapse post
    Senior Member SaifulRahman's Avatar
    Join Date
    Nov 2017
    Posts
    1,319
    Accrued Payments
    132.92 USD
    Thanks
    1,813
    Thanked 2,317 Times in 771 Posts
    SubscribeSubscribe
    subscribed: 0
    হ্যালো ফোরামের ভাইরা।
    খবরের মধ্যে eur/usd পেয়ারটির মুভমেন্ট অনেকটাই ভাল ছিল। আমার ট্রেডিং আইডিয়া হল বাই। গতকাল থেকে আমি আপট্রেন্ডের কনফার্মেশন বা ডাউনট্রেন্ডের ধারাবাহিকতা দেখতে চেয়েছি।
    [attach]9206[/attach]
    এর জন্য, পেয়ারটির রেঞ্জ ক্রেতাদের ক্ষেত্রে 1.1090 এর কাছাকাছি লড়াই করা উচিত। প্রকৃতপক্ষে, এই পেয়ারটি এমনকি 1.1070 এ সাপোর্ট জোনে পৌঁছেছে। স্পাইক আমাদের বাই করার জন্য নির্দেশ করে, যা পেয়ারটির বৃদ্ধি নিশ্চিত করেছে। মার্কেট পর্যবেক্ষণ করার সুযোগ আমার হয়নি। সে কারণেই আমি কোনও অর্ডারও খুলিনি।
    তবে মূল কথাটি হল আমরা আরও বৃদ্ধির জন্য একটি সংকেত পেয়েছি। একটি পুলব্যাক হতে পারে, যেহেতু আমরা 1.1112 এর ক্ষেত্রের মধ্যে রয়েছি। এছাড়াও একটি স্পাইক দেখতে পাচ্ছি।
    [attach]9207[/attach]
    সুতরাং, যখন আমরা আরো নীচে যাব, আমি বাই অর্ডার খুলবো। ফিউচার চার্ট অনুসারে, মাসিক poc জোনে সর্বোচ্চ মুভমেন্ট হয়েছে এবং এখন একই ১১তম জোনে রয়েছে। সাধারণভাবে, এখন সমস্ত কিছুই আপট্রেন্ডটি চালিয়ে যাওয়ার ইঙ্গিত দেয়।
    Attached Images    

    Though trading on financial markets involves high risk, it can still generate extra income in case you apply the right approach. By choosing a reliable broker such as InstaForex you get access to the international financial markets and open your way towards financial independence. You can sign up here.


  8. The Following User Says Thank You to SaifulRahman For This Useful Post:

    KF84 (2019-11-14)

  9. #15 Collapse post
    Senior Member SaifulRahman's Avatar
    Join Date
    Nov 2017
    Posts
    1,319
    Accrued Payments
    132.92 USD
    Thanks
    1,813
    Thanked 2,317 Times in 771 Posts
    SubscribeSubscribe
    subscribed: 0
    সবাই কেমন আছেন!
    গতকাল, আমরা ২৮ তম চিত্রে সেশন ক্লোজ করে দিয়েছি যা বেয়ারিশ ট্রেন্ড এর সুস্পষ্ট লক্ষণ।
    আরও কি, অপশন চ্যানেলের উপরের বর্ডারে ২৯২০ দামে দুটি ওপেন অর্ডার পেনডিং রয়েছে। প্রথম লেভেলে পৌঁছতে পারে তবে এটি আরও বেশি মুভ করার সম্ভাবনা নেই। আজ ডেইলী ব্যালেন্স ২৯১১ তে সেট করা হয়েছে এবং এটি মেনডটারি জোন তৈরি হওয়ার সময় এটি একটি রেসিস্টেন্স লেভেল হিসাবে কাজ করবে। নিচের বর্ডারে কিছু শর্ট পজিশন খোলার চেষ্টা করেলে আরো নীচের দিকে নামলে ভাল হবে। আমি এটি আপাতত একটি প্রধান দৃশ্য হিসাবে দেখছি। তবে বুলিশ ট্রেন্ড শীঘ্রই মুভ করার সম্ভাবনা রয়েছে। সুতরাং, আমার হিসাবে, আমি এই দৃশ্যের উপর খুব বেশি বিশ্বাস করব না এবং বরং২৮৯০-৯৯ এই লেভেল দুটি পরীক্ষা করব।
    [ATTACH=CONFIG]9235[/ATTACH]
    যাইহোক, আজ কল অপনশ ট্রেন্ড এর জন্য যথেষ্ট নিম্নমুখী শিফট দিয়ে বন্ধ রয়েছে। এই জোনের মধ্যে, এই সপ্তাহে সম্ভবত দামটি ধরে রাখবে এবং সম্ভবত ২৯২০ এর স্তরের উপরে উঠবে না। দিনের নিম্নতমটি ২৬তম চিত্রে রয়েছে এবং এই সপ্তাহে আমি এটিকে বাকি দামের ব্যবসায়ের মূল সীমা হিসাবে দেখছি।
    [ATTACH=CONFIG]9236[/ATTACH]
    Attached Images    

    Though trading on financial markets involves high risk, it can still generate extra income in case you apply the right approach. By choosing a reliable broker such as InstaForex you get access to the international financial markets and open your way towards financial independence. You can sign up here.


  10. #16 Collapse post
    Senior Member SaifulRahman's Avatar
    Join Date
    Nov 2017
    Posts
    1,319
    Accrued Payments
    132.92 USD
    Thanks
    1,813
    Thanked 2,317 Times in 771 Posts
    SubscribeSubscribe
    subscribed: 0
    [ATTACH=CONFIG]9263[/ATTACH]
    আজ বৃহস্পতিবার শক্তিশালী মুভমেন্ট এর জন্য কোন দিন না, যদিও সবকিছুই সম্ভব।
    পাউন্ড এর পরিস্থিতি বিবেচনা করা যাক।
    আজ ইস্ট্রাডে লেভেলগুলির জন্য, কোনও বাধ্যতামূলক অঞ্চল নেই এবং এটি ট্রেন্ডটিকে আরো বিপরীত দিকে ও শক্তিশালী করার একটি নিশ্চিত লক্ষণ।
    আমরা এখনও টার্নিং লেভেলে পৌঁছায়নি, তাই আমি ধরে নিতে পারি যে আমরা একটি গুরুত্বপূর্ণ মুভমেন্ট পাব।
    গতকাল 1110-20 এর বাধ্যতামূলক অঞ্চলে সেল ডিল খোলার জন্য খুব আকর্ষণীয় ছিল, তবে আমি আজকে এটি আশা করি না। সর্বোচ্চ আমরা 1083 তে যেতে পারি, যেটা আজকের দিনের অপশন চ্যানেলের শীর্ষে রয়েছে। তারপরেও আমি 1037 তে আজকের দিনের ব্যালেন্স হিসাবে নিম্নমুখী মুভমেন্ট এর আশা করব। এটি একটি আকর্ষণীয় পজিশন যেখানে আমরা আটকে যেতে পারি। যদিও কিছু নাটকীয় নিউজ রয়েছে তবে আমরা দিনের সবচেয়ে নীচে 0982 এ মুভ করতে পারি এবং আমি অবশ্যই সেখানে বাই অর্ডার নিব।
    Attached Images  

    Though trading on financial markets involves high risk, it can still generate extra income in case you apply the right approach. By choosing a reliable broker such as InstaForex you get access to the international financial markets and open your way towards financial independence. You can sign up here.


  11. #17 Collapse post
    Senior Member Tofazzal Mia's Avatar
    Join Date
    Feb 2018
    Posts
    1,361
    Accrued Payments
    1,446.27 USD
    Thanks
    1,717
    Thanked 2,802 Times in 802 Posts
    SubscribeSubscribe
    subscribed: 0
    হ্যালো ফোরাম ট্রেডাররা,
    গতকাল থেকে একটি উল্লেখযোগ্য আপওয়ার্ড মুভমেন্ট হয়েছে। এটাই আমি ভয় পেয়েছিলাম।
    যাইহোক, আমার সব সেল অর্ডারগুলোর জন্য প্রতিরক্ষামূলক স্টপলস রেখেছি। সাধারণভাবে, আমি একটিতে প্রফিট করেছি, তবে অ্যকাউন্ট ব্যালেন্স কিছুটা হ্রাস পেয়েছে।
    তা সত্ত্বেও সেল অর্ডারগুলোর ক্ষেত্রে আমার পেনডিং অর্ডার আগেই এক্সিকিউট হয়েছে।
    আমি মনে করি ভোলাটাইল সত্ত্বেও, আমরা এখনও 2820 বা কমপক্ষে 2830 তে ফিরে আসব।
    [ATTACH=CONFIG]9288[/ATTACH]
    গতকাল, পাউন্ড এক নিঃশ্বাসে 100 পিপস উপরে গিয়েছে।
    [ATTACH=CONFIG]9289[/ATTACH]
    গতকাল আমরা যখন 2820-2830 এর লেভেল ব্রেক করে ফেলেছিলাম, তখনও আমি আশা করিনি যে আমরা আরও এগিয়ে যাব। তবে দাম বেড়েছে। তবে অর্ডারগুলো সর্বোচ্চ লিকুইডি ক্ষেত্রে এটি বন্ধ ছিল। দাম বেশি যেতে ব্যর্থ হয়েছে, লেভেলটি ছুঁয়েছে এবং ফিরে গেছে।
    এই মুহুর্তে, আমি মনে করি না যে ডাউনট্রেন্ডটি অগ্রাধিকার পাবে (আমি মনে করি 2780-2770 এর নীচে যাবে।)। আমি বিশ্বাস করি আমরা যদি পিওসি জোনের উপরে ট্রেড করি তবে গতকালের মুভমেন্ট চলতে পারে।
    এটি করার জন্য, আমাদের কমপক্ষে একটি নতুন করে সর্বোচ্চ পজিশনে আঘাত করা উচিত এবং নীচে পড়তে হবে না।
    এখন পর্যন্ত, আমি বাই ডিল নিচ্ছি না। পাশাপাশি সেল ডিল এর হিসাবে আমাদের আরো যত্নবান হওয়া উচিত।
    [ATTACH=CONFIG]9290[/ATTACH]
    বিকল্প পথ হিসাবে, গতকাল, 1.1300 তে স্ট্রাইক ছিল (যেখানে বর্তমানে সর্বাধিক অর্ডার খোলার আগ্রহ রয়েছে) ট্রেডারার কল অপশন স্থির করেছেন।
    ২.৭ হাজারেরও বেশি লোক ক্লোজ করেছিল।
    সাধারণভাবে, গতকাল কল এন্ট্রির জন্য এটা একটি বহির্গমন ছিল। পুট বিকল্প হিসাবে, তারা যোগ করা হয়েছিল।
    সুতরাং, দামটি আবারো নতুন উঁচুতে উঠবে এবং তারপরে নেমে যাবে বলে আশা করা হচ্ছে।
    যাই হোক না কেন, এটি কিনতে হবে খুব তাড়াতাড়ি।
    [ATTACH=CONFIG]9291[/ATTACH]
    এখন আসুন ফিউচারের জন্য ওআইয়ের সাথে পরিস্থিতিটি বিবেচনা করুন, যেখানে কিছু পরিবর্তন রয়েছে। বা বরং ট্রেন্ড পরিবর্তন হয়েছে।
    ট্রেডারার গতকাল অবধি অর্ডার নিয়েছিল, কিন্তু তারপরে আপওয়ার্ডের মধ্যে নতুন কোন অর্ডার যুক্ত করা শুরু করে নি।
    যদি এটা কেনার জন্য শুরু হয় তবে আমরা খুব কমই ২৮ তম ফিগারের নীচে যাব।
    Attached Images        

    Though trading on financial markets involves high risk, it can still generate extra income in case you apply the right approach. By choosing a reliable broker such as InstaForex you get access to the international financial markets and open your way towards financial independence. You can sign up here.


  12. The Following 2 Users Say Thank You to Tofazzal Mia For This Useful Post:

    jasminbd (2019-11-12), kohit (2019-11-12)

  13. #18 Collapse post
    Senior Member SaifulRahman's Avatar
    Join Date
    Nov 2017
    Posts
    1,319
    Accrued Payments
    132.92 USD
    Thanks
    1,813
    Thanked 2,317 Times in 771 Posts
    SubscribeSubscribe
    subscribed: 0
    হ্যালো ট্রেডাররা,
    গতকাল থেকেই পাউন্ডের হিসাবে আজকের দিনে ব্যালেন্স অপরিবর্তিত ছিল। আজ দাম ইতিমধ্যে 2843তে ছুঁয়ে গেছে কেননা এটা আবারও সাপোর্ট হিসাবে কাজ করবে। যদিও ব্যালেন্স থেকে বৃদ্ধি পাওয়া শুরু করেছে। সুতরাং, শুক্রবার দিনে একটা আকর্ষণীয় দিন হতে পারে।
    যাইহোক বাধ্যতামূলক অঞ্চলটি আবার মার্কেট খোলার দামের নীচে, সুতরাং এটা 2840 তে কাজ করছে। এর অর্থ 2873 দামটি মূল লক্ষ্য। আজকের দিনের উপরের সীমানাটি খানিকটা বেশি এবং আমরা এই অঞ্চলে দিনটি কাটাব বলে মনে হচ্ছে।
    [ATTACH=CONFIG]9317[/ATTACH]
    যাইহোক, এই জাতীয় পরিস্থিতি 29 তম চিত্রের দামের সাথে ঘটেছে। সুতরাং, কেবলমাত্র আমরা যা করতে পারি তা হল এটির পুনরাবৃত্তি।
    [ATTACH=CONFIG]9318[/ATTACH]
    Attached Images    

    Though trading on financial markets involves high risk, it can still generate extra income in case you apply the right approach. By choosing a reliable broker such as InstaForex you get access to the international financial markets and open your way towards financial independence. You can sign up here.


  14. The Following 13 Users Say Thank You to SaifulRahman For This Useful Post:

    Arif87 (2019-11-14), BonnaFx (2019-11-14), FXBD (2019-11-14), jasminbd (2019-11-14), Montu Zaman (2019-11-14), Ploashbd (2019-11-14), Rakib Hashan (2019-11-14), Rassel Vuiya (2019-11-14), SumonIslam (2019-11-14), SUROZ Islam (2019-11-14), tanha13 (2019-11-14), Taniya (2019-11-14), Tofazzal Mia (2019-11-14)

  15. #19 Collapse post
    Senior Member Tofazzal Mia's Avatar
    Join Date
    Feb 2018
    Posts
    1,361
    Accrued Payments
    1,446.27 USD
    Thanks
    1,717
    Thanked 2,802 Times in 802 Posts
    SubscribeSubscribe
    subscribed: 0
    সবাই কেমন আছেন!
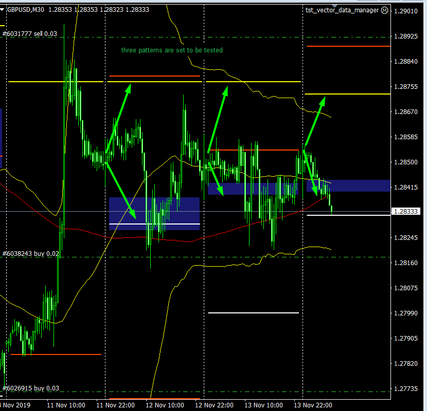
    পাউন্ড স্টার্লিং এর ট্রেডিংয়ের পরিমাণ কম হলেও, এটার পরিস্থিতি অস্থির হয়ে ট্রেডিং চলছে। অপশন ট্রেডিংয়ের ক্ষেত্রে, কোনও তথ্য না পাবার কারনে নতুন করে কোনও অপশন অর্ডার নেই। সার্ভারে সমস্যার কারণে আজ আমি আপনাদের প্রিয় টিএসটি লেভেলগুলো সম্পর্কে বলতে পারছি না। সুতরাং, আমি আপনাকে স্ট্যান্ডার্ড টেকনিক্যাল অ্যানালাইসিস সম্পর্কে ধারনা দিব।
    আমি মেনে নিচ্ছি যে gbp/usd পেয়ারটি নিজেকে একটি অনিশ্চিত পরিস্থিতিতে রয়েছে। আমি বলতে চাইছি প্রাইস এখনও নীচের দিকে যাচ্ছে, তবে মাঝে মাঝে এটা বৃদ্ধি পাবার জন্য উপযুক্ত হয়ে উঠছে। আমার টেকনিক্যাল অ্যানালাইসিস ইন্ডিকেটরগুলিতে আজকের জন্য নিচের ট্রেডিং রেঞ্জগুলো সিগন্যাল দিচ্ছে: 2883-2950। ফ্ল্যাট মার্কেট শেষ হয়ে গেলে প্রাইস কোন দিকে মুভ করবে সেটা একটা বড় প্রশ্ন। গতকাল সন্ধ্যা থেকে প্রাইস 2915-32 এর কাছাকাছি ট্রেডিং হচ্ছে এবং একই জায়গায় ফিরে ফিরে আসছে। যদি প্রাইস আপওয়ার্ড বর্ডার টেষ্ট করে তবে এটি আপওয়ার্ড ট্র্যাজেক্টোরি অনুসরণ করবে। যদি ডাউনওয়ার্ড রেঞ্জটি টেষ্ট করে তবে প্রাইস 1.28 এর উপরের পজিশনে ফিরে যাবে। আমি দ্বিতীয় ধারনাটি ধরে নিয়েছি।
    [attach=config]9373[/attach]
    অপশন ট্রেডিং এর ক্ষেত্রে ভলিউম এর পরিমান এক মাসের কনট্রাক্টগু আগের দিনের থেকে ১.২৯ বেড়েছে। যাইহোক, পুট অপশন গতকাল থেকে ট্রেডিং হয়েছিল। সম্ভবত, এই কারণেই এই পেয়ারটি অপ্রত্যাশিত মুভমেন্ট করছে। অপশন পুট এর জন্য প্রাইস 2900 এবং অপশন কল এর জন্য প্রাইস 2800 এর স্ট্রাইক প্রাইসরে মধ্যে আটকা পড়েছিল। সর্বনিম্ন প্রাইস 1.27। সুতরাং, বুল ট্রেন্ড প্রাইসটিকে সেখানে পৌঁছাতে বাধা দিবার জন্য সর্বাত্মক চেষ্টা করছে। একই সময়ে, বেয়ারিশ ট্রেন্ড এর শক্তি বেশি জোর দিতে পারছে না। এই কারণেই প্রাইস এখনও পর্যন্ত বেশিরভাগ মার্কেটে ট্রেডারদের জন্য উপযুক্ত হতে 2950-2830 এর রেঞ্জ এর মধ্যে আটকে গেছে।
    [attach=config]9374[/attach]
    Attached Images    

    Though trading on financial markets involves high risk, it can still generate extra income in case you apply the right approach. By choosing a reliable broker such as InstaForex you get access to the international financial markets and open your way towards financial independence. You can sign up here.


  16. The Following 10 Users Say Thank You to Tofazzal Mia For This Useful Post:

    BDFOREX TRADER (2019-11-21), DhakaFX (2019-11-21), FXBD (2019-11-21), InstaForex Sushantay (2019-11-21), Montu Zaman (2019-11-21), Rakib Hashan (2019-11-21), Rassel Vuiya (2019-11-21), SaifulRahman (2019-11-21), SumonIslam (2019-11-21), SUROZ Islam (2019-11-21)

  17. #20 Collapse post
    Senior Member Rassel Vuiya's Avatar
    Join Date
    Feb 2018
    Posts
    1,301
    Accrued Payments
    1,110.94 USD
    Thanks
    1,945
    Thanked 2,567 Times in 753 Posts
    SubscribeSubscribe
    subscribed: 0
    হ্যালো ফোরাম ট্রেডার ভাইয়েরা
    গতকালের দিনটি বেশ আকর্ষণীয় ছিল, যদিও আজকের দিনেও সাইডওয়ে ট্রেন্ডটি চলছে।
    গতকালের শেষ ট্রেডিং সেশনে প্রাইসটি 2884 এর লেভেলে পৌঁছেছে এবং তারপরে ২৯নম্বর ফিগারে ফিরে এসেছে। আমি এর অর্থ কী তা জানি না, কারণ এখানে কোনও স্থির হবার বা বাই ডিল ছিল না।
    [ATTACH=CONFIG]9443[/ATTACH]
    আজকের দিনের শুরু থেকেই লেভেলগুলি অনুসারে পরিস্থিতি কিছুটা বিরক্তিকর বলে মনে হচ্ছে।
    আমি এখনও সেল ডিল খুলছি এবং ডাউনেওয়ার্ড মুভমেন্ট এর জন্য অপেক্ষা করছি, বিশেষত যেহেতু আমাদের ইতিমধ্যে ২৯নম্বর ফিগারে মাঝামাঝি স্থির হব এবং সেল ডিল বাড়বে। তবে বৃহস্পতিবার প্রায়শই একটি অলস ট্রেডিংয়ের দিন। এখন পর্যন্ত সফল ট্রেডিং দিনের পরে লস এড়াতে একটা বিরতি নেওয়া আরও ভাল। কিন্তু গতকালের ব্যবধানটি 2889 তে ব্যালেন্স এবং মেন্ডাটরি জোনের মধ্যে পজিশনটি অন্তত নীচের দিকে দশ পিপ শক্তিশালী হয়েছিল এবং আজ আমরা এগুলি খুব কমই কার্যকর করব।
    আমি মনে করি যে ইউরোপীয় সেশন চলাকালীন সময় 2954 আজকের দিনে অপশন লেভেল এর সীমানাটি ভেঙে যাবে। আমেরিকান সেশনে আজ একটি ছুটির দিন, কেননা তারা থ্যাঙ্কসগিভিং ডে পালন করছে।
    আমি একটি ডাউনওয়ার্ড মুভমেন্টে এর প্রত্যাশা করছি, তবে কখন এবং কীভাবে হবে তা আমি জানি না।
    [ATTACH=CONFIG]9444[/ATTACH]
    Attached Images    

    Though trading on financial markets involves high risk, it can still generate extra income in case you apply the right approach. By choosing a reliable broker such as InstaForex you get access to the international financial markets and open your way towards financial independence. You can sign up here.


  18. Remove Your Thanks

    The Following 10 Users Say Thank You to Rassel Vuiya For This Useful Post:

    BDFOREX TRADER (2019-11-28), DhakaFX (2019-11-28), FXBD (2019-11-28), Montu Zaman (2019-11-28), Rakib Hashan (2019-11-28), SaifulRahman (2019-11-28), SumonIslam (2019-11-28), SUROZ Islam (2019-11-28), Tofazzal Mia (2019-11-28), Unregistered (1)

+ Reply to Thread
Page 2 of 11 FirstFirst 1 2 3 4 ... LastLast

Posting Permissions

  • You may not post new threads
  • You may not post replies
  • You may not post attachments
  • You may not edit your posts
Bangladesh Forex Forum – Presentation
You are welcome to the forum serving as a virtual salon for communication of traders of all levels. Forex is a dynamically developing financial market which is open 24 hours a day. Anyone can get access to this market via a brokerage company. On this forum you can discuss the numerous advantages of trading on the currency market and all aspects of online trading on MetaTrader4 or MetaTrader5 platforms.

Bangladesh Forex Forum – Trading discussions
Every forumite can join a discussion of various issues, including those related to Forex but not limited to. The forum has been designed for sharing opinions and helpful information and is open for both professionals and beginners. Mutual assistance and tolerance are highly appreciated. If you would like to share you experience with others or deepen your knowledge of trading craft, you are most welcome to the forum threads dedicated to trading discussions.

Bangladesh Forex Forum – Dialogue between brokers and traders (about brokers)
In order to be successful on Forex, it is crucial to choose a brokerage company with due diligence. Make sure you broker is really reliable! Thus you will be impervious to many risks and will make profitable trades on Forex. On the forum a rating of brokers is represented; it is based on comments left by their customers. Post your opinion about the brokerage company you work with, it will help other traders avoid mistakes and choose a good broker.

Unleashed communication on Bangladesh Forex Forum
On this forum you can talk about not only trading issues, but any other topics you like. Offtopping is allowed in a special thread too! Humour, philosophy, social problems or practical wisdom – converse about anything you are interested in, including forex trading if you like!

Bonuses for communication on Bangladesh Forex Forum
Those who post messages on the forum can receive money bonuses and use them for trading on an account of a forum sponsor. The forum is not meant for gaining profit; however forumites can get these small bonuses as reward for the time spent on the forum and sharing views on the currency market and trading.