+ Reply to Thread
Page 24 of 37 FirstFirst ... 14 22 23 24 25 26 34 ... LastLast
Results 231 to 240 of 369

Thread: eur/usd

Thread: eur/usd

  1. #231 Collapse post
    Senior Member Taniya's Avatar
    Join Date
    Jan 2018
    Posts
    427
    Accrued Payments
    532.66 USD
    Thanks
    994
    Thanked 1,984 Times in 266 Posts
    SubscribeSubscribe
    subscribed: 0
    সবাইকে অভিবাদন! Eur/usd অনুযায়ী, আজকের দিনের মধ্যে একটি ডাউনওয়ার্ড মুভমেন্ট রয়েছে, কিন্তু এটা বিবেচনা করলে আমরা একটি শক্তিশালী লেভেলে বাম্পিং করছি, আমি একটি পুলব্যাক আশা করি। 1.1415 এর লেভেলটি ব্রেক পুলব্যাকের জন্য একটি সংকেত প্রদর্শিত হবে।
    আমরা 1.1415 তে না পৌঁছানো পর্যন্ত টার্গেট 1.1360 এবং 1.13২0 নিচের দিকে থাকবে, তাই মাই 1.1300 এর সাথে এ 1.1300 তে বাই করব। পরিস্থিতি এখনও আমার জন্য ট্রেন্ডের সঙ্গে বেশ স্পষ্ট নয়। যখন একটি পুলব্যাক হবে, আমরা এটি ব্রেক দেখতে পাব। কিন্তু এই মুহুর্তে, 1.1400 লেভেলে আছে, এটিই ডাউনওয়ার্ড এবং বা আপওয়ার্ড তার ভাগ্যের সিদ্ধান্ত নেবে, এবং এর মাধ্যমে ব্রেক খুব সহজ হবে না, তাই আমি একটি পুলব্যাক এর আশা করি।
    রিবাউন্ডিং লেভেলগুলো টপে রয়েছে, 1.1450 এবং 1.1495।
    [attach=config]6989[/attach]
    সপ্তাহের জন্য ট্রেডিং রেঞ্জ:
    টপ 1.1620
    বটম 1.1319।
    ইন্ট্রেডে মাত্রা:
    টপ 1.1475।
    বটম 1.1393।
    গতকালের, ডিরেকশন নিশ্চিতকরণ লেভেল 1.1450 ছিল। ব্রেকআউট পরে, আমরা একটি ডাউনওয়ার্ড পেয়েছিলাম।
    [attach=config]6990[/attach]
    h4 এবং h1 এর চাটে, উভয় চার্ট হল ডাউনওয়ার্ড মুখী এবং উভয় পুলব্যাকের পরে লো আপডেট করার জন্য একটি সার্কেলে থাকবে, যা জগজ্যাগ ডাউন করতে পারে।
    সাধারণত, আমি একটি আপওয়ার্ড ট্রেন্ড আশা করি না, কিন্তু আমরা এখনও d1 এ আছি, বাকি টাইম ফ্রেম গতকাল একটি ডাউনওয়ার্ড সংকেত দিয়েছে। এখন, এই সব চালু করার জন্য, অনেক সময় প্রয়োজন, যার অর্থ একটি ফ্ল্যাট, এবং এটি এড়ানোর জন্য, একটি ডিরেকশন দিতে এখানে থেকে পালিয়ে যাওয়াই ভাল।
    এখন সবচেয়ে গুরুত্বপূর্ণ যে কাজটি অনুসরণ করতে হবে তা হল যখন আমরা পুলব্যাক হবে তখন কত হাই তে আমরা যাচ্ছি। 1.1540 তে একটি মুভমেন্ট কিছু সময়ের জন্য ঊর্ধ্বমুখী হবে, এবং 1.1570 এর গতিপথটি পুরোপুরিভাবে ব্রেক করবে।
    [attach=config]6991[/attach]
    এখানে একটি আপট্রেন্ড এর জন্য শেষ আশা করা যায়। d1 টাইম ফ্রেম এখনও ট্রেন্ডকে ঘুরাতে পারে।
    আমাদের একটি পুলব্যাকের জন্য অপেক্ষা করতে হবে, কিন্তু প্রাইস যদি নিচে যায়, আমি অন্য কিছু চিন্তা করব, কিন্তু সর্বোপরি, আমি লাইন আঁকা কয়াব এবং মার্কেট ক্লোজ করব।
    [attach=config]6992[/attach]
    Attached Images        

    Though trading on financial markets involves high risk, it can still generate extra income in case you apply the right approach. By choosing a reliable broker such as InstaForex you get access to the international financial markets and open your way towards financial independence. You can sign up here.


  2. Remove Your Thanks

    The Following User Says Thank You to Taniya For This Useful Post:

    Unregistered (1)

  3. #232 Collapse post
    Senior Member Taniya's Avatar
    Join Date
    Jan 2018
    Posts
    427
    Accrued Payments
    532.66 USD
    Thanks
    994
    Thanked 1,984 Times in 266 Posts
    SubscribeSubscribe
    subscribed: 0
    সবাইকে অভিবাদন।
    eur/usd এর পেয়ারে , কিছুই পরিবর্তিত হয়নি। আমরা এখনও ডাউনসাইডে আছি। আমি 1.1350 লো একটি আপডেট আশা করি। উপরন্তু, আমি 1.1330 লেভেল বাদ দিব না। আমি মনে এটি আজকের জন্য যথেষ্ট হবে।
    আজকের দিনের মধ্যে ডাউনসাইড কেন্সেলেশন হল 1.1387 এর একটি ব্রেকআউট।
    আজকের দিনের মধ্যে ডাউনসাইড কেন্সেলেশন এর মানে আপসাইনে রিভার্সাল না। এটা শুধু ডাউনওয়ার্ড মুভমেন্ট থেকে একটি পুলব্যাক। কিন্তু যেভাবে আমরা পুলব্যাক করেছি এবং আমরা যে ট্রেন্ডটি পুল ব্যাক করব তা পরে পরিষ্কার হবে। পুলব্যাক আরো মুভমেন্ট করতে পারে, যেহেতু আমাদের পরিস্থিতির মানিয়ে নিতে হবে।
    [attach=config]7010[/attach]
    এই সপ্তাহের জন্য ট্রেডিং রেঞ্জে,
    টপ অপরিবর্তিত রয়েছে - 1.1620 তে,
    বটম 1.1290 থেকে 1.1270 পর্যন্ত পরিবর্তিত হয়েছে।
    ইন্ট্রেডে লেভেল,
    টপ 1.1411।
    বটম 1.1352।
    শুক্রবার, আপার এবং লোয়ার লেভেল উভয় ব্রেক করেছে। এই সম্প্রসারণ বাড়েছে। সম্প্রসারণের পরে, আমরা প্রায়ই রেঞ্জের মধ্যে থাকি এবং কোথাও যেতে পারি না। আজকের ট্রেডিং রেঞ্জে 1.1411-1.1350। দুটি সম্প্রসারণ খুব কমই ঘটে, এবং এটি একটি চিহ্ন যে যদি লেভেলগুলির মধ্যে একটি ব্রেক হয়, তাহলে আমরা সেখানে থাকব।
    [attach=config]7011[/attach]
    এই মুহুর্তে, h1 "বাই" এলাকায় প্রবেশ করেছে, কিন্তু এর কোন নিশ্চয়তা নেই। নিশ্চিত করার জন্য, আমাদের একটি হাই তৈরি করতে হবে এবং তারপরে এটি আপডেট করতে হবে। এছাড়া, ইনডিকেটর বাদলায়। আপসাইড নিশ্চিত করা হলে, ইনডিকেটর অবিলম্বে আপসাইডে টার্ন করতে হবে। এবং এই ক্ষেত্রে, আমরা একটি জিগজাগ আকৃতির মুভমেন্ট ব্যবস্থা করতে পারি।
    ইতিমধ্যে, আমরা ডাউন সাইডে আছি, এবং টার্গেট তৈরি করার মত কিছুই নেই। যখন কিছু আপওয়ার্ড হয়, আমরা টপএর দিকে তীর আঁকতে পারি এবং প্রাইস ক্লোজ করতে নিচের পুরু লাইনগুলি রাখব।
    [attach=config]7012[/attach]
    যেভাবে আমি h4 এবং h1 এ পরিস্থিতি দেখি।
    h4 তে একটি ডাউনসাইড সংকেত আছে।
    н1 "বাই" জোন গিয়েছিলাম। এ পর্যন্ত, সংকেত দুর্বল। h4 সর্বদা h1 বিপরীতে থাকে। এই ক্ষেত্রে, যখন দুটি সময় ফ্রেম দুটি ভিন্ন দিক দিয়ে যাচ্ছে, তখন আমাদের কিছু উপযুক্ত মুভমেন্টের জন্য অপেক্ষা করতে হবে, তবে এখনও h4 কে অগ্রাধিকার দেওয়া উচিত।
    আমি আপনাদের সফল ট্রেডিং কামনা করি।
    [attach=config]7013[/attach]
    Attached Images        

    Though trading on financial markets involves high risk, it can still generate extra income in case you apply the right approach. By choosing a reliable broker such as InstaForex you get access to the international financial markets and open your way towards financial independence. You can sign up here.


  4. #233 Collapse post
    Senior Member Taniya's Avatar
    Join Date
    Jan 2018
    Posts
    427
    Accrued Payments
    532.66 USD
    Thanks
    994
    Thanked 1,984 Times in 266 Posts
    SubscribeSubscribe
    subscribed: 0
    সবাইকে অভিবাদন।
    গতকাল, আমেরিকানরা ক্ষমতা মুভ করিয়েছে। প্রত্যেকেই ব্রেকআউট এবং 1.1270তে পৌঁছানোর একটি পদ্ধতির প্রত্যাশা করেছিল, তবে তারপরে আমরা 1.1350 এর উপরে উঠেছিলাম।
    আমি অনুমান করছি যে তারা ডাউনসাইডের দিকে যেতে চায় না, তারা শাটডাউনের আগে আপসাইডের দিকে যেতে চায়।
    প্রথমত, এটি m15 দ্বারা নির্দেশিত হয়েছে। উল্লিখিত টার্গেট 1.1390 এবং 1.1420। আমি এখনও বাই করতে হবে কিনা জানি না। আমার কাছে সেল করার জন্য যথেষ্ট ফ্রাঙ্ক আছে। আপওয়ার্ড পুলব্যাকের 1.1335 মাধ্যমে ব্রেক হবে। আজকের দিনের মধ্যে, "বাই" একটি ফ্ল্যাট দিয়ে মুভ করতে পারে, অথবা তারা উপরে দিকে যেতে পারেন। কেউ এটি জানে না, কিন্তু এই মুহূর্তে আমাদের একটি ইঙ্গিত দেয়। ফ্ল্যাটের অর্থ হল ডাউনসাইডের ধারাবাহিকতা, কিন্তু যদি তারা আপসাইড দিকে প্রাইস নিতে পারে, তাহলে তারা কীভাবে উঠাবে তা আমাদের দেখা উচিত।
    [attach=config]7025[/attach]
    এই সপ্তাহের জন্য ট্রেডিং পরিসীমা রেঞ্জ,
    টপ 1.1620
    বটম 1.1270।
    ইন্ট্রেডে লেভেল,
    টপ 1.1366।
    বটম 1.1335।
    গতকাল, লো লেভেল 1.1356 ছিল। ব্রেকআউট শেষে, তারা শুরু 1.1335 তে পৌঁছেছে।
    [attach=config]7026[/attach]
    h1 অনুযায়ী, ইনডিকেটর উপরের দিকে যেতে প্রস্তুত, তবে, এটি একটি পুসের প্রয়োজন ছিল। বিয়ারা তাদের শক্তি প্রদর্শন করার জন্য, অন্তত 1.1390 প্রথম হাই আপডেট করা আবশ্যক, যা আপসাইডের প্রথম চিহ্ন হবে। কিন্তু, আমরা আমাদের ইনডিকেটরকে ধন্যবাদ দিতে দিতে, পূর্বাভাস অন্যদিকে মুভ করবে, আমি বুঝতে পেরেছি যে বিয়ারগুলি শক্তিশালী হবে, এবং ডাউন সাইড মুভমেন্ট অগ্রাধিকার পাবে, তবে আমি মনে করি যে নিচে যাওয়ার জন্য কাউকে অবশ্যই বাই করতে হবে, তাই আমি সম্ভবত একজন বাইয়ার হতে পারি।
    [attach=config]7027[/attach]
    Attached Images      

    Though trading on financial markets involves high risk, it can still generate extra income in case you apply the right approach. By choosing a reliable broker such as InstaForex you get access to the international financial markets and open your way towards financial independence. You can sign up here.


  5. Remove Your Thanks

    The Following User Says Thank You to Taniya For This Useful Post:

    Unregistered (1)

  6. #234 Collapse post
    Senior Member tanha13's Avatar
    Join Date
    Jan 2018
    Posts
    255
    Accrued Payments
    257.93 USD
    Thanks
    1,057
    Thanked 1,543 Times in 205 Posts
    SubscribeSubscribe
    subscribed: 1
    সুদের হার নিয়ে সিদ্ধান্ত প্রকাশিত হয়েছে। ইসিবি জানিয়েছে যে তারা গ্রীষ্ম পর্যন্ত সুদের হার পরিবর্তন করবে না। কেন্দ্রীয় ব্যাংক অগ্রিম তাদের দীর্ঘমেয়াদী পরিকল্পনা সম্পর্কে অবহিত করবে, এবং পরিবর্তন সম্পরকে সতর্কতা প্রদান করবে। তাদের কাজ শুধুমাত্র আর্থিক নীতি নিয়ন্ত্রণ করা নয়, যতদূর সম্ভব অত্যধিক ভোলাটিলিটি প্রতিরোধ করাও। সুতরাং সুদের হার পরিবর্তন হবে তা বলা যায়না। অবশ্যই, দ্রাঘি মন্তব্য বাজার প্রভাবিতকে করতে পারে, কিন্তু তেমন বেশি না।
    নিউজের ব্যাকগ্রাউন্ড অনুযায়ী, আমি বিশ্বাস করি যে শাটডাউন সবচেয়ে হাই ভোলাটিলিটি খবর, যার কোন নির্দিষ্ট সময়সীমা এবং ট্রাম্প কংগ্রেসের সাথে চুক্তিতে পৌঁছানোর কোন তারিখও নেই।
    কিন্তু আমি মনে করি যে দ্রাঘির প্রেস কনফারেন্স আগে, এই পেয়ার কোন উল্লেখযোগ্য মুভমেন্ট হবে না।

    এখন আমি ট্রেডিং ইন্ডিকেটিং সিস্টেমের ভিত্তিতে ট্রেড করছি, এবং আজকে আমার কাছে নিচের এই ছবিটি রয়েছে:
    উপরে থেকে, দুটি ট্রেন্ড লাইন রয়েছে। প্রাইস যখন তাদের নিচে থাকেবে, তখন মুল ট্রেন্ড ডাউনওয়ার্ড হবে।
    ট্রেন্ড লাইনের মধ্যে অনিশ্চয়তার ক্ষেত্রটি প্রবেশ করেছে, এবং সম্ভবত, আজকের ফ্ল্যাট প্রত্যাশিত।
    কাঠামোর অনুযায়ী, m15-h1-h4 তে চ্যানেলগুলি একটি শক্তিশালী ফ্ল্যাট দেখায়।
    এখন আজকের দিনের মধ্যে টার্গেট জোন নির্ধারণ করা সম্ভব - 1.1330-1.1340 এর নিচে। h1 চ্যানেলে একটি ভাল টার্গেট রয়েছে এবং h4 চ্যানেলের লোয়ার বর্ডারে রয়েছে। এবং আমি সেখানে 1.1310-1.1320 এলাকায় এবং নীচে টার্গেট রেখেছি
    [attach=config]7028[/attach]

    কিন্তু একই সময়ে, আপট্রেন্ডের উপর চাপ রয়েছে, তাই এখন সেল করা খুব তাড়াতাড়ি যাবে। আপসাইডের দিকে সংকেত থাকলে আমি বাই করব। ট্রেডিং সিস্টেমের অনুযায়ী, এমন কোন সংকেত নেই।

    চার্টে, আমি সম্ভাব্য মুভমেন্ট দেখিয়েছি যা অনিশ্চয়তার এলাকায় হতে পারে, তবে এখনও, আমি আশা করি প্রাইস হ্রাস পাবে।

    আমি সেল করেছি, কিন্তু ভলিউম বড় ছিল না।
    আমি একটি গুরুতর মুভমেন্টের জন্য অপেক্ষা করতে যাচ্ছি, যা একটি শক্তিশালী ট্রেন্ড তৈরি করতে পারে এবং যতদূর সম্ভব প্রাইস দূরে যেতে পারে।

    উপরন্তু, আমি ট্রাম্পের কংগ্রেসের সাথে আলোচনার জন্য অপেক্ষা করছি। আমার মতে, এটি ডাউনওয়ার্ড ট্রিপের জন্য একটি ভাল ড্রাইভার হতে পারে।
    Attached Images  

    Though trading on financial markets involves high risk, it can still generate extra income in case you apply the right approach. By choosing a reliable broker such as InstaForex you get access to the international financial markets and open your way towards financial independence. You can sign up here.


  7. Remove Your Thanks

    The Following User Says Thank You to tanha13 For This Useful Post:

    Unregistered (1)

  8. #235 Collapse post
    Senior Member Taniya's Avatar
    Join Date
    Jan 2018
    Posts
    427
    Accrued Payments
    532.66 USD
    Thanks
    994
    Thanked 1,984 Times in 266 Posts
    SubscribeSubscribe
    subscribed: 0
    সবাইকে অভিবাদন.
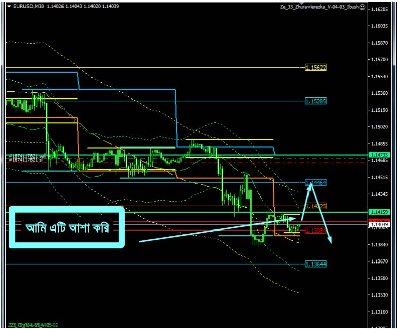
    Eur/usd পেয়ার অনুযায়ী , আমি একটি পুলব্যাক আশা করি। এর সংকেতটি 1.1380 লেভেলের ব্রেকআউট হবে।
    এই মুহুর্তে, আমরা 1.1380 লেভেলের উপরে উঠেছি, যার মানে হল যে আপসাইড এখনও কার্যকর, কিন্তু এখানে বাই আমার জন্য এটি উপযুক্ত নয়।
    এই চার্টে, আমি আজকের দিনের মধ্যে সম্ভাব্য মভমেন্টের চিত্র বর্ণনা করছি। আমি মনে করি আমরা হাই আপডেট হব, তারপর 1.1380 তে পুলব্যাক, এবং হাই এ ফিরে আসবে।
    এবং আমেরিকান সেশনের কাছাকাছিতে, নতুন মুভমেন্ট অনুসরণ করা প্রয়োজন হবে। ভোলাটিলিটি সম্ভবত বৃদ্ধি পাবে এবং এন্ট্রি পয়েন্ট খুজে বের করা সম্ভব হবে। এবং আমেরিকান সেশনের আগে, একটি ফ্ল্যাটের সঙ্গে সম্ভবত কম ভোলাটিলিটি হবে।
    [attach=config]7057[/attach]
    এখন আমি eur/usd সম্পর্কে আমার প্রত্যাশা বিস্তারিতভাবে বলব।
    h1 "বাই" জোনে চলে গেছে বলে মনে হচ্ছে, যখন h4 "সেল" জোনে চলে গেছে, আমি বিশ্বাস করি যে প্রাইস উভয় দিক থেকে যাবে। এবং যেহেতু h4 তার নিচের অংশটি শেষ করেনি এবং এটি আরও একটুখানি জগাখিচুড়ি করেছে, তাই আমি আশা করি 1.1350 এর লেভেলের হ্রাসের সাথে জিজজ্যাগটি হয়তো সামান্য নীচে নামবে। এই ক্ষেত্রে, আমি পরিস্থিতিকে মানিয়ে নিব।
    এবং h1 জিগজ্যাগ সঙ্গে তার চক্র শেষ হলে হাই তার মুভমেন্ট শুরু করবে। ফলস্বরূপ, এটি দেখায় যে 1.1350, 1.1330, এবং তারপর 1.1420 এর হাই পর্যন্ত ঊর্ধ্বগতি চলতে থাকবে, তবে আমি শুধুমাত্র 1.1440 পর্যন্ত বিবেচনা করব।
    কিন্তু এই প্রক্রিয়াটি শুরু করার জন্য, 1.1380 এর ব্রেকআউটের সাথে m15 থেকে প্রথম সংকেতটির জন্য অপেক্ষা করা আবশ্যক।
    [attach=config]7058[/attach]
    সপ্তাহের জন্য ট্রেডিং রেঞ্জ অনুযায়ী,
    টপ 1.1620,
    বটম 1.1270।
    আপনি দেখতে পাবেন যে, আমরা এখনও রেঞ্জের মধ্যে আছি এবং এর থেকে বের হওয়ার কোন উপায় নেই। সম্ভবত, আমরা এই সপ্তাহে এই রেঞ্জে থাকব।
    ইন্ট্রেডে লেভেল অনুযায়ী,
    টপ 1.1412,
    বটম 1.1315
    [attach=config]7059[/attach]

    লাইনের একত্রীকরণ অনুযায়ী, আজ এটি পরিষ্কার যে ডাউনসাইড সীমাবদ্ধ, যখন পথটি খোলা থাকে। এই প্রান্তে ইউরোপকে প্রাইসের মুভ করা হবে, কিন্তু আমরা জানি কিভাবে তাদের হ্রাস পেতে পারে। যদি তারা হ্রাস পায়, তবে উল্টো দিকে যাওয়ার পথ আজকের জন্য বন্ধ করা যেতে পারে।
    [attach=config]7060[/attach]
    Attached Images        

    Though trading on financial markets involves high risk, it can still generate extra income in case you apply the right approach. By choosing a reliable broker such as InstaForex you get access to the international financial markets and open your way towards financial independence. You can sign up here.


  9. Remove Your Thanks

    The Following User Says Thank You to Taniya For This Useful Post:

    Unregistered (1)

  10. #236 Collapse post
    Senior Member Taniya's Avatar
    Join Date
    Jan 2018
    Posts
    427
    Accrued Payments
    532.66 USD
    Thanks
    994
    Thanked 1,984 Times in 266 Posts
    SubscribeSubscribe
    subscribed: 0
    সবাইকে অভিবাদন।
    সপ্তাহের শুরুতে একটি ক্রমবর্ধমান বিয়ারাএর সঙ্গে ফ্ল্যাট, আশ্চর্যজনক বলে মনে হয়।
    এই সবই আজকের কারণেই হতে পারে যে, পাওয়েল ভাষণ দেবেন।
    কিন্তু সত্যি বলতে, আমি বিশেষ করে এর দ্বারা অনুপ্রাণিত না, নিউজ সাম্প্রতিক মার্কেটকে মুভ করায় নি।
    চলুন দেখি সিস্টেমটি কী দেখায়, এটি কিছু নিউজের চেয়ে বেশি নির্ভরযোগ্য।
    সিস্টেম অনুযায়ী, সবকিছু সহজ। আমরা আপসাইডে আছি। আমি 1.1465, 1.1490, এবং 1.1505 টার্গেট দেখছি।
    ডাউনসাইড বাতিলকরণ 1.1410 এর ব্রেকআউট, এটাই।
    সুতরাং এখানে তেমন কিছুই নেই, প্রাফিট আশার জন্য অপেক্ষা করা উচিত।
    [attach=config]7072[/attach]
    ট্রেডিং এখনও 1.1620 এবং 1.1270 রেঞ্জের মধ্যে পরিচালিত হচ্ছে। সিস্টেম অনুযায়ী, আমরা সম্ভবত নিম্নলিখিত দুই সপ্তাহের মধ্যে থাকব।
    ইন্ট্রেডে লেভেল আজকে এই এই ডিরেকশন সূচনা করেছে: টপ 1.1449, এবং বটম 1.1410।
    সুতরাং আসুন দেখি আমরা কি পাঞ্চ করব। এখনের জন্য, সবকিছু 1.1449 এর ব্রেকআউট নির্দেশ করে, কিন্তু আপনি জানেন, ইউরোপীয় সেশনের সময়, সবকিছুী পরিবর্তন হতে পারে।
    [attach=config]7073[/attach]
    m30 অনুযায়ী, 1.1410 এর ব্রেকআউটের পরে, একটি রিবাউন্ড প্রত্যাশা করা যায়। সাপোর্টের ব্রেকআউট এর পর এটি একটি সাধারণ ব্যাপার। অবশ্যই এটি ঘটতে পারে না এবং এটি অবিলম্বে হ্রাস পাবে, কিন্তু এই জিগজ্যাগ আমাদের কাছে খুবই গুরুত্বপূর্ণ, কারণ এটি আমাদের ডাউনসাইডে এন্ট্রি পয়েন্ট। জিগ্যাগ এর পরে, লো আপডেট হবে যা আমরা বটমে তৈরি করেছি। এটি আমাদের ডাউনসাইড নিশ্চিত করবে, তারপরে নিচের টার্গেটগুলো হল 1.1370, 1.1350, এবং সম্ভবত 1.1330 হবে। কিন্তু এখন জন্য, ডাউনসাইড 1.11410 উপরে জোর দিচ্ছে। তারপর আমরা দেখব m15 আজকের দিনের মধ্যে আমাদের কি দেখাবে। যাইহোক, 1.1449 এর ব্রেকআউট একই স্থান যেখানে m15 ঊর্ধ্বগামী হয়।
    [attach=config]7074[/attach]
    গতকাল এর পূর্বাভাস সম্পর্কে কিছু কথা। মূলত, সবকিছু সিস্টেমের সাথে লাইনে ছিল। কিন্তু এখনও, টাইম ফ্রেম বিভিন্ন দিক নির্দেশ করে। আজ তারা গতকাল থেকে ভিন্ন। পরিবর্তন শুধুমাত্র দিনের মধ্যে সম্ভব, m15 এবং m30 একই ডিরেকশন নির্দেশ করতে শুরু করছে।
    Attached Images      

    Though trading on financial markets involves high risk, it can still generate extra income in case you apply the right approach. By choosing a reliable broker such as InstaForex you get access to the international financial markets and open your way towards financial independence. You can sign up here.


  11. Remove Your Thanks

    The Following User Says Thank You to Taniya For This Useful Post:

    Unregistered (1)

  12. #237 Collapse post
    Senior Member Ploashbd's Avatar
    Join Date
    Oct 2017
    Posts
    310
    Accrued Payments
    95.95 USD
    Thanks
    1,065
    Thanked 1,524 Times in 229 Posts
    SubscribeSubscribe
    subscribed: 1
    প্রিয় ট্রেডারবৃন্দ, কেমন আছেন সবাই?
    প্রধান টার্গেট একই, 1.1435-1.1400। এশিয়ানরা কাজ করতে চায় না, তাই ইউরোপীয় ট্রেডিং আমাদের কী দেখাবে সে বিষয়ে আমি ফোকাস করব।
    গতকাল এবং আগের দিন অনুযায়ী, আমি এখনও আপসাইডে আটকাতে থাকব। প্রাইস এসেন্ডিং চ্যানেল দিকে মুভ করছে। এখন তারা প্রাইস বৃদ্ধির চেষ্টা করছে এবং ইউরোপীয় অধিবেশন শুরু হওয়ার আগেই এশিয়ানরা প্রাইস 1.1475 ডলারে ঠেলে দেবে। এই ক্ষেত্রে, আমি মনে করি ইউরোপীয়রা দ্রুত এই বৃদ্ধিকে ডাউনওয়ার্ড মুভমেন্টের সাথে ক্লোজ করবে। অনুশীলন অনুযায়ী, এই ধরনের মুভমেন্ট বেশ প্রায়ই ঘটে।
    ট্রেডারদের অবস্থানগুলি আমাদের দেখায় যে বাইয়ারা লুকিয়ে আছে এবং এখন তারা ভবিষ্যতের বাই পজিশনের জন্য প্রস্তুতি নিচ্ছে, যেমন ডায়াগগ্রাম থেকে অনেকগুলি পেন্ডিং আদেশ রয়েছে সেখানে দেখা যেতে পারে।
    [ATTACH]7102[/ATTACH]

    সাধারণভাবে, আজকে আমরা ভবিষ্যতের ডিরেকশনের জন্য সিদ্ধান্ত নেব, সুতরাং একটি পজিশনে প্রবেশ করার জন্য তাত্ক্ষণিকভাবে চেষ্টা করবেন না। পুরো সপ্তাহ পরে রয়েছে এবং আমরা এখান থেকে কিছু প্রফিট করতে সক্ষম হব।
    এবং এখনের জন্য, এখানে একটি আপ ট্রেন্ড রয়েছে। আমি প্রাইস 1.1435-1.1415 (আমি মনে করি যে এই লেভেল বাই এ প্রবেশ করার জন্য একটি ভাল পজিশন) লেভেলে পৌঁছাবে বলে আশা করি।
    [ATTACH=CONFIG]7103[/ATTACH]
    Attached Images    

    Though trading on financial markets involves high risk, it can still generate extra income in case you apply the right approach. By choosing a reliable broker such as InstaForex you get access to the international financial markets and open your way towards financial independence. You can sign up here.


  13. Remove Your Thanks

    The Following User Says Thank You to Ploashbd For This Useful Post:

    Unregistered (1)

  14. #238 Collapse post
    Senior Member BonnaFx's Avatar
    Join Date
    Oct 2017
    Posts
    321
    Accrued Payments
    116.85 USD
    Thanks
    1,011
    Thanked 1,843 Times in 247 Posts
    SubscribeSubscribe
    subscribed: 0
    চার্টে কিছু গ্যাপ ছাড়াই মার্কেট ওপেন হয়েছে। কিছু কারণে, আমি এই গ্যাপগুলো পছন্দ করি না, বিশেষ করে যা পরে কাট করা যাবে না।

    আমার প্রত্যাশা অনুযায়ী, m15 এ, আপওয়ার্ড ট্রেন্ডের ধারাবাহিকতার জন্য একটি সংকেত রয়েছে। 1.1442 এর মূল জোনে ট্রেডিং হচ্ছে। উল্লেখিত চিহ্নের নীচে একত্রিতকরণ হচ্ছে "লাইন আপ" দুটি টাইমফ্রেম, যেমন h1 এবং m15, উভয়ই নীচের দিকে। কিন্তু m30 এ পর্যন্ত এই রেসিস্ট রয়েছে।
    [attach]7105[/attach]
    আমি ইতোমধ্যে লিখেছি যে 1.1436 এবং 1.1404 এর দুটি লেভেলের কাছে এই পেয়ারের মুভমেন্ট আমার জন্য খুবই গুরুত্বপূর্ণ। প্রথম মার্কটি m30 এর জন্য অপরিহার্য, এবং দ্বিতীয়টি - h4 এর জন্য। যদি 1.1404 এর এলাকা অবশেষে প্রতিরোধ করতে সক্ষম না হয়, তবে আমি আমার সমস্ত উচ্চতর প্রত্যাশাগুলিকে একপাশে রেখে দেব এবং ১৩তম ফিগারের শুরুতে টার্গেট রাখব। কিন্তু এখন, আমি আমার আগের সিদ্ধান্তের পাশে দাড়িয়ে থাকব। h4 চার্টে, আমি একটি ট্রেন্ড রেখা একেছি। এবং 1.1420 এর এলাকায় তার অবস্থান অনুসারে (আমি অনুমান করছি যে 1.1436 তে রিভার্সাল আশা করা হচ্ছে), আমি বাই অর্ডার খুলতে চাই। ফলস্বরূপ, আমি h4 চার্টে 1.1404 এর নিচে একীকরণ আশা করি, যেখানে, যদি কিছু হয় তবে আমি লস পজিশন ক্লোজ করে দেব।
    [attach]7106[/attach]
    সাধারণভাবে, m15 থেকে h4 এর টাইম ফ্রেম অনুযায়ী, আমি এখনও 1.1404 - 1.1490 (1.1515) রেঞ্জে পুনরায় শুরু করতে পারি । যে কারণে আমার উপরের দিকে ব্রেকআউটের কোন সংকেত নেই, আমি দৃঢ়ভাবে বিশ্বাস করি যে বৃদ্ধি চলবে।
    আমি সবাই সফল ট্রেডিং কামনা করি!
    Attached Images    

    Though trading on financial markets involves high risk, it can still generate extra income in case you apply the right approach. By choosing a reliable broker such as InstaForex you get access to the international financial markets and open your way towards financial independence. You can sign up here.


  15. Remove Your Thanks

    The Following User Says Thank You to BonnaFx For This Useful Post:

    Unregistered (1)

  16. #239 Collapse post
    Senior Member Taniya's Avatar
    Join Date
    Jan 2018
    Posts
    427
    Accrued Payments
    532.66 USD
    Thanks
    994
    Thanked 1,984 Times in 266 Posts
    SubscribeSubscribe
    subscribed: 0
    eur/usd পেয়ার অনুযায়ী, পরিকল্পনাগুলি অপরিবর্তিত রয়েছে, অর্থাৎ, টার্গেট হল 1.1330, এটিই মূল পরিকল্পনা।
    এবং সিস্টেম অনুযায়ী অপশন বিবেচনা করা যাক এখন আমি eur/usd থেকে এটাই আশা করি।
    1.1435 লেভেলে ডাউনসাইড বাতিল।
    এশিয়ান অধিবেশন চলাকালীন, 1.1390 এবং 1.1380 লো আপডেট হওয়ার সুযোগ রয়েছে। আমরা 1.1435 এর নীচে থাকলে, ডাউনসাইডের অগ্রাধিকার বজায় থাকবে। ইউরোপীয় অধিবেশনের সময়, আমার হিসাব অনুসারে, একটি পুলব্যাক প্রত্যাশিত, অর্থাৎ, প্রথম আপট্রেন্ড মুভমেন্ট শুরু হবে, এবং তারপরে আমরা দেখব 1.1435 এর ব্রেকআউটের সাথে নিশ্চিতকরণ হবে কি না।
    সিস্টেমের অনুযায়ী এটিই আমি আশা করি, এবং ট্রাম্পের বক্তব্যের কারনএ ভবিষ্যদ্বাণী করা সম্ভব নয়, আমি তা বিবেচনায় নিচ্ছি না। সম্ভবত এমন কিছুই ঘটবে না, অথবা আমরা অবিলম্বে 1.1330 লেভেলে যেতে পারি। আমি এই বিকল্পটি পছন্দ করি না, কারন আমি অর্ডার দিয়ে টার্গেটে যেতে চাই। এবং শুধুমাত্র এই ক্ষেত্রে, আমি আমার সব সেল ক্লোজ করেছি।
    [attach=config]7117[/attach]
    সংকেত।
    সংকেত এখনও বহাল রয়েছে। এটা যে পুলব্যাক সঞ্চালিত করেছে তা বলা যেতে পারে। আমি সিগন্যাল কাজ করার জন্য অপেক্ষা করছি।
    গোল্ড, ডলার, কিউই এবং ক্রুড অয়েলের জন্য সংকেত।
    যদি পরিবর্তন হয়, আমি আপনাদের আগাম জানিয়ে দেব এবং সপ্তাহের শেষে আমরা ফলাফল দেখতে পাব। এতদূর, আমরা বলতে পারি সবকিছু ঠিক আছে, কোন অপ্রয়োজনীয় মুভমেন্ট নেই।
    [attach]7118[/attach]
    আজকের জন্য ইন্ট্রেডে লেভেল অনুযায়ী,
    টপ 1.1435, যখন একটি ব্রেকআউট হবে, এটি ব্রেকআউট নিশ্চিত করবে, অর্থাৎ, একটি পুলব্যাক;
    বটম 1.1407, যখন ব্রেকআউট হবে এটি ডাউনসাইড নিশ্চিত করবে।
    পরে আমি আসন্ন লেভেল সম্পর্কে বিস্তারিত ব্যাখ্যা দিব।
    গতকাল, ডাউনসাইড নিশ্চিতকরণ লেভেল 1.1424 ছিল। ব্রেকআউটের পরে, ডাউনসাইড ডিরেকশনটি নিশ্চিত করা হয়েছিল, আমরা ডাউনসাইডে গিয়েছিলাম, তাই বলা যেতে পারে যে লেভেল পুরোপুরিভাবে কাজ করেছে।
    [attach=config]7119[/attach]
    এখন আমাদের জন্য সবচেয়ে গুরুত্বপূর্ণ জিনিস হল সাধারণ ডিরেকশন ধরতে হয়। মুহূর্তে, ডাউনওয়ার্ড মুভমেন্ট হল উন্নয়নশীল। আমি বলতে পারি না যে এটি শক্তিশালী, কারণ h4 নিরপেক্ষতার জন্য এখনো প্রস্তুত নয়। আপসাইডের যেকোনো শক্তিশালী পুলব্যাক আমাদের ডাউনসাইডের ব্রেক করবে।
    আপনি স্ক্রিনশট দেখতে পারেন, h1 ডাউনওয়ার্ড ট্রেন্ড একেছে। যদি ট্রাম্প প্রক্রিয়াটি ড্রাইভার হিসাবে কাজ করে তবে এই দুর্বল ডাউনসাইড শক্তিশালী হতে পারে। কিন্তু এখন, এটি হল আমার প্রত্যাশা।
    [attach=config]7120[/attach]
    Attached Images        

    Though trading on financial markets involves high risk, it can still generate extra income in case you apply the right approach. By choosing a reliable broker such as InstaForex you get access to the international financial markets and open your way towards financial independence. You can sign up here.


  17. Remove Your Thanks

    The Following User Says Thank You to Taniya For This Useful Post:

    Unregistered (1)

  18. #240 Collapse post
    Senior Member Taniya's Avatar
    Join Date
    Jan 2018
    Posts
    427
    Accrued Payments
    532.66 USD
    Thanks
    994
    Thanked 1,984 Times in 266 Posts
    SubscribeSubscribe
    subscribed: 0
    প্রিয় ট্রেডারবৃন্দ, কেমন আছেন সবাই?
    Eur/usd অনুযায়ী, আমি প্রধান পয়েন্ট মনে করছি।
    আজকের জন্য, টার্গেট 1.1290। তারপর আমি একটি রিবাউন্ড এবং পুলব্যাক আশা করছি। সাউথের বাতিলকরণ হল 1.1350 এর ব্রেকআউট। টেকনিক্যাল আনাল্যসিস অনুযায়ী, যারা ডাউনসাইডে ট্রেড করছেন তাদের জন্য একটি স্টপ শীঘ্রই প্রত্যাশিত হবে।
    মার্কেট ওপেন হওয়ার পর, লো অবিলম্বে আপডেট করা হয়, যার অর্থ এটি বলা যেতে পারে, সাপ্তাহিক ক্যান্ডেলস্টিক বিকল্পটি আর প্রাসঙ্গিক নয়, ক্যান্ডেল তার আপডেটটির কাজ করেছে। যাইহোক, সাত পয়েন্ট বাকি আছে।
    আজ, আমার জন্য সবচেয়ে গুরুত্বপূর্ণ বিষয় হল ডাউনসাইড থেকে এবং কোথা থাকে কি রিবাউন্ড শুরু হবে। এই আমাদের যে ডিরেকশনে কাজ করতে হবে তার নির্দেশ করতে পারে।
    [attach=config]7152[/attach]
    ডলারের জন্য, এখনও সিগন্যাল আছে যে ডলার নিকট ভবিষ্যতে দুর্বল হবে। উদাহরণস্বরূপ, eur/usd ইঙ্গিত করে যে একটি পুলব্যাক শীঘ্রই প্রত্যাশা করা যায়। যাইহোক, ইউরোপ আবার ফ্ল্যাট অঙ্কন শুরু করেছে, এটি একটি পুলব্যাক শুরু হতে পারে। কিন্তু এই অবস্থায়, আমরা আজ 1.1290 দেখতে পাব না। তবে, আজকে এটি 1.1290 তে পৌঁছানোর প্রয়োজন।
    [attach=config]7153[/attach]
    এই সপ্তাহের জন্য ট্রেডিং রেঞ্জ:
    টপ 1.1550।
    বটম 1.1250।
    ইন্ট্রেডে লেভেল:
    টপ 1.1350।
    বটম 1.1320।
    এই মুহূর্তে, আমরা 1.1320 এর অধীনে রয়েছি। এবং যদি ইউরোপীয় সেশন চলাকালীন আমরা 1.1350 এর লেভেলের নীচে থাকি, তবে এটি লেভেল অনুযায়ী ডাউনসাইড ট্রেন্ড নিশ্চিত করবে।
    [attach=config]7154[/attach]
    Attached Images      

    Though trading on financial markets involves high risk, it can still generate extra income in case you apply the right approach. By choosing a reliable broker such as InstaForex you get access to the international financial markets and open your way towards financial independence. You can sign up here.


+ Reply to Thread
Page 24 of 37 FirstFirst ... 14 22 23 24 25 26 34 ... LastLast

Subscribe to thread (3)

Posting Permissions

  • You may not post new threads
  • You may not post replies
  • You may not post attachments
  • You may not edit your posts
Bangladesh Forex Forum – Presentation
You are welcome to the forum serving as a virtual salon for communication of traders of all levels. Forex is a dynamically developing financial market which is open 24 hours a day. Anyone can get access to this market via a brokerage company. On this forum you can discuss the numerous advantages of trading on the currency market and all aspects of online trading on MetaTrader4 or MetaTrader5 platforms.

Bangladesh Forex Forum – Trading discussions
Every forumite can join a discussion of various issues, including those related to Forex but not limited to. The forum has been designed for sharing opinions and helpful information and is open for both professionals and beginners. Mutual assistance and tolerance are highly appreciated. If you would like to share you experience with others or deepen your knowledge of trading craft, you are most welcome to the forum threads dedicated to trading discussions.

Bangladesh Forex Forum – Dialogue between brokers and traders (about brokers)
In order to be successful on Forex, it is crucial to choose a brokerage company with due diligence. Make sure you broker is really reliable! Thus you will be impervious to many risks and will make profitable trades on Forex. On the forum a rating of brokers is represented; it is based on comments left by their customers. Post your opinion about the brokerage company you work with, it will help other traders avoid mistakes and choose a good broker.

Unleashed communication on Bangladesh Forex Forum
On this forum you can talk about not only trading issues, but any other topics you like. Offtopping is allowed in a special thread too! Humour, philosophy, social problems or practical wisdom – converse about anything you are interested in, including forex trading if you like!

Bonuses for communication on Bangladesh Forex Forum
Those who post messages on the forum can receive money bonuses and use them for trading on an account of a forum sponsor. The forum is not meant for gaining profit; however forumites can get these small bonuses as reward for the time spent on the forum and sharing views on the currency market and trading.